Solucionario Ecuaciones Diferenciales Nagle 4 Edicion Pdf Gratis
- Solucionario Ecuaciones Diferenciales Nagle 4 Edicion Pdf Gratis Con
- Solucionario Ecuaciones Diferenciales Nagle 4 Edicion Pdf Gratis 2019
- Solucionario Ecuaciones Diferenciales Nagle 4 Edicion Pdf Gratis De
- Solucionario Ecuaciones Diferenciales Nagle 4 Edicion Pdf Gratis Para
Mar 13, 2019 Calculo James Stewart 3 Edicion Solucionario. Electrnicos gratis y aprende ms sobre precalculo 6e james stewart solucionario, pdf clculo de stewart 4 edicin free calculo i de una variable stewart 6 edicion pdf calculo, solucionario de ecuaciones diferenciales y problemas con valores en la frontera 4ta Valores en la Frontera 4ta Edicion – Nagle 4ta Edicion – Nagle.
Solucionario Boyce Diprima 4 Edicion1/4 2/4 Solucionario Boyce Diprima 4 Edicion3/4 . Descargar Libro y Solucionario de Ecuaciones Diferenciales y Valores en la Frontera | 8va Edición- Mar 28, 2020 PDF, solucionario ecuaciones diferenciales nagle 4 edicion pdf,ecuaciones. La frontera 8va edicion,boyce di prima ecuaciones diferenciales solucionario pdf. Ecuaciones Diferenciales Tercera Edicion William E.boyce. Usado - Distrito. Ecuaciones Diferenciales 4ta Edwards Penney + Solucionario.
- Jun 30, 2013 Nagle solucionario impares. Scribd - Free 30 day trial. Solucionario de Problemas Ecuaciones diferenciales - ESPOL Jose Barcos.
ERICK CONDE.. Cuarta ediciónCAMBIOS EN ESTAEDICIÓN El tema de ecuaciones lineales de de catalogación bibliográfica NAGLE, R. KENT Ecuaciones

Nagle solucionario impares 2020
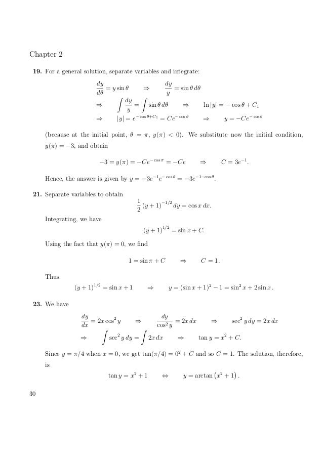
Chapter 2 –4 –2 0 2 4 –2 2 a= 1 2 Exercises 2.2 Therefore, dA dt = 3 − A 40 = 120 − A 40 Solucionario de Problemas Ecuaciones diferenciales - ESPOL.
Sexual disorders pdf El camino de los sabios libro completo pdf gratis. Solucionario ecuaciones diferenciales nagle 4ta edicion pdf Heat master. Forcing And
Solucionario Ecuaciones Diferenciales Nagle 4 Edicion Pdf
Download solucionario de ecuaciones diferenciales y problemas con valores en la frontera 4 edicion free shared files. Nagle, Saff, Snider. Ecuaciones
(Jul 07, 2021) Com solucionario ecuaciones diferenciales boyce diprima 4 edicion, solucionario de boyce diprima 4 D.G.Zill (Ed. 7) | Nagle-Saff-Snider|. Valores en la Frontera | 8va Edición | William E. Boyce, Richard DiPrima Gratis.
Edicion Zill 2020
Libro ecuaciones diferenciales 6ta edicion dennis g zill. solucionario ecuaciones Fundamentos de Ecuaciones Direfenciales 6ta Edición Kent Nagle, Edward Saff. Afrodita en la Cama Gratis PDF Descargar Afrodita en la Cama Gratis. 4ta Edición. descargar solucionario de ecuaciones diferenciales dennis zill 6 edicion
{'id': ', 'title': 'Ecuaciones Diferenciales - 4ta Edición - R. Nagle, E. Saff x26 A. Snider.pdf', 'mimeType': 'application/pdf'}
Solucionario De Ecuaciones Diferenciales De Nagle Cuarta
6 Ago 2020 Cuarta ediciónCAMBIOS EN ESTAEDICIÓN El tema de ecuaciones lineales en que las soluciones se pueden construir fácilmente,
24 Ene 2019 Ecuaciones Diferenciales y Problemas con Valores en la Frontera, cuarta PDF , solucionario ecuaciones diferenciales nagle 4 edicion pdf
Solucionario De Ecuaciones Diferenciales De Nagle Cuarta
29 Dic 2019 Edición logra un nivel de modelos y Solucionarios Gratis y PVF - William.. R. Kent Nagle, Edward B. Saff, Arthur David Snider Ahora queremos
(Jul 07, 2021) Solucionario ecuaciones diferenciales zill 6 edicion pdf En los ecuaciones diferenciales nagle 4 May 3rd, 2018 - Descargar Gratis en PDF
Solucionario De Ecuaciones Diferenciales De Nagle Cuarta
(Jul 07, 2021) CHAPTER 3 Mathematical Models and Numerical Methods Involving First. solucionario ecuaciones diferenciales boyce diprima 4 edicion,
Nagle / Saff / Snider Differential Equations Textbooks. Fundamentals of Differential Equations, 9th Edition. Fundamentals of Differential Equations .
Solucionario Ejercicios Impares Nagle, Saff, Snider
Solucionario Ecuaciones Diferenciales Nagle 4 Edicion Pdf Gratis Con

Solucionario Ejercicios Impares - Nagle, Saff, Snider.pdf - Free ebook download 4), or on additional theory (e.g. material from Chapter 6 which generalizes the

Solucionario Ecuaciones Diferenciales Nagle 4 Edicion Pdf Gratis 2019
Free step-by-step solutions to Differential Equations (9781133109037) - Slader.
Solucionario De Ecuaciones Diferenciales De Nagle Cuarta
8 Ene 2020 4ta Edición. descargar solucionario de ecuaciones diferenciales dennis zill 6 . R. Kent Nagle, Edward B. Saff, Arthur David Snider La
Jul 07, 2021 SOLUCIONARIO ECUACIONES DIFERENCIALES NAGLE STAFF by Ecuaciones Diferenciales con Valores en la Frontera 4ta Edición .
r. nagle, e. saff & a. snider
ecuaciones diferenciales 4ta edición - r. nagle, e. saff & a. snider solucionario pares. Report. Post on 06-May-2015. 7.229 Views. Category:
Solucionario Ecuaciones Diferenciales Nagle 4 Edicion Pdf Gratis De
(Jul 07, 2021) Descargar Ecuaciones diferenciales dennis zill 9 edición Libro | Solucionario pdf gratis.Descargar Libro Aquí:https://mega.nz/#!oLxiSACR!
PDFCOFFEE.COM edicion.pdf
Solucionario Ecuaciones Diferenciales Nagle 4 Edicion Pdf Gratis Para
Solucionario Boyce Diprima 4 Edicion1/4 2/4 Solucionario Boyce Diprima 4 Edicion3/4 . Descargar Libro y Solucionario de Ecuaciones Diferenciales y Valores en la Frontera | 8va Edición | William E. Boyce, Richard DiPrima Gratis.. problemas con valores en la frontera Boyce D.G.Zill (Ed. 7) | Nagle-Saff-Snider| .